Maths Class 9 Herons Formula Mcq Complete Guide

Best Math Formula website. Search anything about Math Formula in this website.

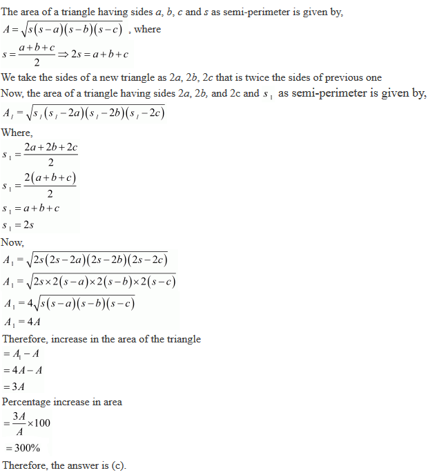
maths class 9 herons formula mcq. Put the values of s a b and c to get the answer equal to 2111 cm 2. What is its perimeter.

R D Sharma Solutions Class 9th Ch 12 Heron S Formula Mcq S
R D Sharma Solutions Class 9th Ch 12 Heron S Formula Mcq S from www.studyrankers.com

MCQs on Class 9 Maths Chapter 13. Practicing the MCQ Questions on Herons Formula Class 9 with answers will boost your confidence thereby helping you score well in the exam. Surface Areas and Volumes.

A 12x cm b 17x cm c 25x cm.

Sides of a triangle are in the ratio of 12. Base x Height b. Therefore it is imperative to have a clear grasp of the concept. These Class 9 MCQ Questions with answers will widen your skills and understand concepts in a better manner.