Mathematics Formula Proof Complete Guide

Best Math Formula website. Search anything about Math Formula in this website.

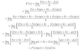
mathematics formula proof. Some Emendations of Goedels Ontological Proof PDF. Proof by Induction Proof by Induction is a technique which can be used to prove that a certain statement is true for all natural numbers 1 2 3 The statement is usually an equation or formula which includes a variable n which could be any natural number.

How To Proof The Properties Of Logarithms Product Rule Quotient Rule Power Rule Change Of Base Rule With Ex Math Methods Learning Mathematics Studying Math
How To Proof The Properties Of Logarithms Product Rule Quotient Rule Power Rule Change Of Base Rule With Ex Math Methods Learning Mathematics Studying Math from www.pinterest.com

Where e is the base of the natural logarithm i is the imaginary unit and cos and sin are the trigonometric functions. This Math Formula Has Determined the Odds of Aliens Existing. These class 8 maths formulas for geometry and algebra will help to get acquainted with all the formulas and will make problem solving easier and more efficient.

As of 2011 the longest mathematical proof measured by number of published journal pages is the classification of finite simple groups with well over 10000 pages.

Place value and decimal fractions. The proof is done using the standard form of a quadratic equation and solving the standard form by completing the square. In developing his own account of explanatory proof in mathematics he discussesand rejectsa number of initially plausible criteria for explanation eg. 5th grade Eureka MathEngageNY.