Mathematical Expression For Kinetic Energy Complete Guide

Best Math Formula website. Search anything about Math Formula in this website.

mathematical expression for kinetic energy. Thus we define the kinetic energy as the capacity of an object to do work by virtue of its motion. The law of conservation of energy states that the total energy of an isolated system is constant.

What Is Kinetic Energy Article Khan Academy
What Is Kinetic Energy Article Khan Academy from www.khanacademy.org

PlatformMass HangerEarth Using Words And An Energy Bar Chart Describe How These Quantities Will Behave As The Hanging. Now we know that the kinetic energy of a body at rest is zero. Vibrational energy is an example of kinetic energy.

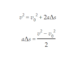
W DEk mathematical expression or equation for the work-kinetic energy theorem is derived here.

Energy posses by a body by virtue of its motion is referred to as Kinetic Energy. Thus we define the kinetic energy as the capacity of an object to do work by virtue of its motion. In this video we will learn to derive Equation of Kinetic EnergyReference Science NCERT class9 ch 11 Music. Energy posses by a body by virtue of its motion is referred to as Kinetic Energy.