How To Find The Distance Between Two Points With Square Roots Complete Guide

Best Math Formula website. Search anything about Math Formula in this website.

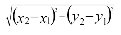
how to find the distance between two points with square roots. Then I made the approximation that the average of the distances between two points would be the same than the distance of the averages. You da real mvps.

Pin On Printable Education Worksheet Templates
Pin On Printable Education Worksheet Templates from www.pinterest.com

I applied Pythagore to the average distance in 2D. Distance between two points square root calculator. The distance between 32 and 78 is sqrt 52 or approximately 721 units.

The side length of the square is the distance between any two adjacent vertices.

This tutorial shows how the distance formula is used to find the distance between two points in a x y coordinate systemLearn Math Tutorials Bookstore http. Practice applying the Pythagorean Theorem in this tutorial about the distance formula. Float dy y2 - y1. Int main printff Distance1 2 2 1.