How To Calculate Ncr In C Language Complete Guide

Best Math Formula website. Search anything about Math Formula in this website.

how to calculate ncr in c language. Start Step 1 - Declare function for calculating factorial int cal_nint n int temp 1 Loop for int i 2 and i declare function to calculate ncr int nCrint n int r return cal_nn cal_nr cal_nn - r step 3 - In main declare variable as int n 12 r 4 print nCrn r Stop. Permutations means possible way of rearranging in the group or set in the particular order.

Calculate Ncr Using Pascal S Triangle Geeksforgeeks
Calculate Ncr Using Pascal S Triangle Geeksforgeeks from www.geeksforgeeks.org

Simple C Program to calculate Permutation nPr and Combination nCr in C language with stepwise explanation and output. 6-2 720 2 24 15. This program will perform the below calculator operations.

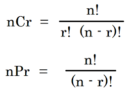
To find combination we use the concept of finding factorial of a number and use the standard formula for nCrnrn-r.

To calculate combination all you need is the formula that too in case you want to determine it manually. A binomial coefficient C n k can be defined as the coefficient of Xk in the expansion of 1 Xn. For example your function should return 6 for n 4 and k 2 and it should return 10 for n 5 and k 2. We use long long data type in our program to handle large numbers.