How Do You Calculate The Natural Log Complete Guide

Best Math Formula website. Search anything about Math Formula in this website.

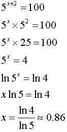
how do you calculate the natural log. The derivative of the natural logarithm function is the reciprocal function. Logₐx lnx lna logₐx lgx lga.

Natural Logs
Natural Logs from www.slideshare.net

The logarithm of x raised to the power of y is y times the logarithm of x. In other words logs are exponents. Defining a logarithm or log.

To find the logarithm of a number other than a power of 10 you need to use your scientific calculator or pull out a logarithm table if they still exist.

Logarithm uses a base number to another number to obtain a resultant number. Enter a number and a base into the calculator. The calculator will display the inverse log of the number and base entered. The log functions domain includes negative and complex numbers which can lead to unexpected results if used unintentionally.