Formula General B2 4ac Complete Guide

Best Math Formula website. Search anything about Math Formula in this website.

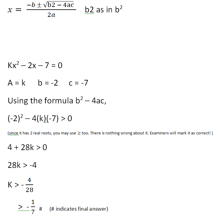
formula general b2 4ac. Solve the quadratic equation below using quadratic formula. Taking the square root of both sides and isolating x gives.

Solved Problem 2 The Two Roots Of A Quadratic Equation A Chegg Com
Solved Problem 2 The Two Roots Of A Quadratic Equation A Chegg Com from www.chegg.com

The discriminant tells us how many solutions the quadratic has. 1How did in Mathematics if youre in doubt about the correctness of the answers or theres no answer then try to use the smart search and find answers to the similar questions. Find an answer to your question Using the Quadratic Formula.

X2-10x 475 Explain each step.

The quadratic formula mainly involves plugging numbers into the equation but there are a few things you need to know. Algebra - Capitulo 10 - Ecuaciones cuadraticas playlist. Taking the square root of both sides and isolating x gives. Given a general quadratic equation of the form.