10th Class Maths 5th Chapter Quadratic Equation Solution Complete Guide

Best Math Formula website. Search anything about Math Formula in this website.

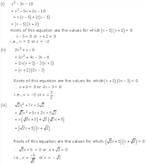
10th class maths 5th chapter quadratic equation solution. Class 11 Maths Complex Numbers and Quadratic Equations NCERT Solutions are extremely helpful while doing your homework or while preparing for the exam. Find the value of discriminant.

Ncert Solutions For Class 10th Maths Chapter 4 Quadratic Equations Quadratics Quadratic Equation Math
Ncert Solutions For Class 10th Maths Chapter 4 Quadratic Equations Quadratics Quadratic Equation Math from in.pinterest.com

You can opt for Chapter 4 - Quadratic Equation NCERT Solutions for Class 10 Maths PDF for Upcoming Exams and also You can Find the Solutions of All the Maths Chapters below. C is the constant term. Solutions for Progressions class 10 SSC.

It is of the form ax2 bx c 0.

AP SSC 10th Class Textbook Solutions. NCERT Solution Class 10 Maths Chapter 4 - Quadratic Equations. It is very essential to learn quadratic equations because it have wide applications in other branches of mathematics physics in other subjects and. NCERT Maths Solutions for Ex 41 class 10 Quadratic Equations is the perfect guide to boost up your preparation during CBSE 10th Class Maths Examination.